на тему рефераты
 
Главная | Карта сайта
на тему рефераты
РАЗДЕЛЫ

на тему рефераты
ПАРТНЕРЫ

на тему рефераты
АЛФАВИТ
... А Б В Г Д Е Ж З И К Л М Н О П Р С Т У Ф Х Ц Ч Ш Щ Э Ю Я

на тему рефераты
ПОИСК
Введите фамилию автора:


Дипломная работа: Совершенствование рыночных механизмов госзакупок в России


Из табл.3 видно, что все относительные темпы имеют одну размерность (l.-год) .поэтому можно определить средний по каждому столбцу перечня относительный темп изменения цен, что и показано в последней строке табд.З.

Будем представлять средний относительный темп на интервале моделирования некоторой дифференцируемой функцией X (t). Тогда можно записать следующее разностное уравнение:

решив которое, мы будем знать среднюю по перечню цену экспортно

импортного товара Покажем, как это можно сделать с помощью приближенного ряда Фурье.

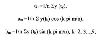
В нашем случае функция у ( t) определена на интервале Т длиной 8 лет. Разделим его на 2п разных частей, назначив для наглядности, а в коммерческом проекте для реальности, величину элементарного шага равной одному году, предопределив тем самым п=4. Тогда мы можем определить коэффициенты ряда Фурье.

где символ pi означаетПричем, в силу периодичности функции sin(.) коэффициент Ь4 будет равен нулю. Если составить сумму

 

то она будет давать наилучшее приближение функции у (t.) на данном интервале, позволяя записать

Остается проинтегрировать уравнение (5а). Это нам дает

где- начальное условие.

Карманные программируемые калькуляторы высшей категории качества имеют встроенную программу вычисления интегралов, поэтому легко вычислить (6), указав интервал интегрирования и начальное условие X(t0). Конечно бизнесмен должен хорошо ориентироваться в динамике цен, чтобы возможно точнее указать начальное условие. Если формулой (6) пользоваться систематически, проблем с назначениемне появится.

Другая, важная и часто встречавшаяся проблема оптимального прокью-ремента, состоит в составлении программы действий. Это не тривиальная за-дача. Ее решение можно осуществить в терминах теории вероятностей на основе логистического подхода. Итак, пусть имеется серия наблюдений Yi, i = 1, 2, ..., п.. Без ограничения общности будем считать, что случайная переменная Yi принимает два значения 0,1 (О- событие Yi не происходит, 1-событие Yi происходит). Пусть появление событиясвязано с некоторым числом объясняющих переменныхОбозначим вероятность появления события Yi идентификатором pbi.Тогда мы можем представить

где-мерный вектор неизвестных параметров, подлежащих оценке;- наблюдаемые значения переменных для i-го объекта. В матричной форме можно записать следующее уравнение

можно определить неизвестные b только в принципе, т.к. оптимальные значений b подчиняются некоторым условиям, не совместимым с требованием Y=0;1. Применим логистический метод оптимального планирования, в соответствии с которым примем

где выражение (Xi b) понимается как произведение вектора -строки на вектор-столбец (скалярное произведение).

Упорядочим значения Yi так, что сначала идут значения

  

а затем

Это приведет к удобной записи уравнений, т.к. вероятность появления

Короче и с использованием логистического представления (9) можно записать так

 (Ю)

где символ П означает операцию произведений в пределах указанных индексов. Простое свойство показательной функции exp(t) (проверить самостоятельно при подготовке к практическому занятию и зачету) позволяет представить (10) еще проще

 ■ (И)


Можно еще упростить (11), если вместо Ф взять 1одеФ и обозначить L (Ь), для которой будем иметь

что после дифференцирования по bs дает

Оценка для b может быть получена в результате решения системы уравнений

Эта система нелинейная, поэтому ее решение можно получить методом последовательных приближений. В результате решения получаем вектор Ь,а вместе с ним вероятности осуществления Yi. Большие значения pbi, отвечающие данному Ь, будут символизировать более приоритетные мероприятия, подлежащие осуществлению в первую очередь.

Применение данного подхода к планированию конкретной задачи про-кьюремента рассмотрим ниже.

2. ФОРМУЛИРОВКА ТИПОВОЙ УЧЕБНОЙ ЗАДАЧИ ПРОКЬЮРЕМЕНТА

Действующие субъекты: 1)правительство страны покупателя (ПСП); 2)Министерство финансов страны покупателя (МЗСП); 3)Центральный банк страны покупателя (ЦВСП); 4) Главное ревизионное и аудиторское управление страны покупателя (ГРА-УСП); 5)Головной Совет бухгалтеров и аудиторов (ГСБАСП).

Описание проекта

В 1995 г. в стране-покупателе была узаконена всеобъемлющая финансовая реформа в результате которой коммерческие банки и частные банки допускаются к проведению посреднических услуг. В связи с этим стране-покупателю потребовались дополнительные мероприятия по поддержанию реформы: 1)введение системы правового регулирования и контроля; 2)внедрение современной системы кредитно-кассовых расчетов; 3)укрепление функций центрального банка. Для проведения этих мер правительство страны-покупателя (ПСП) взяло кредит в одной из зарубежных стран на сумму 30 млн. долл. США.

Компоненты проекта

A) ПРАВОВОЙ КОНТРОЛЬ И РЕГУЛИРОВАНИЕ. Этот пункт состоит из: 1) изучения состояния дел в ЦБ; 2) -командировок за рубеж с целью обмена опытом; 3) внедрения правового регулирования.

Б) СОВЕРШЕНСТВОВАНИЕ УПРАВЛЕНИЯ ФИНАНСАМИ. Здесь имеется в виду:

1) научить персонал современной технике бухучета и аудита; 2)закупить оборудование для министерства финансов (МФ), ГСБАСП и т.д.; 3) закупить транспортные средства; 4) построить новое здание для МФ.

B) ГОССИСТЕМА КРЕДИТНО - КАССОВЫХ РАСЧЕТОВ. Здесь будут произведены закупки компьютеров (Офисного оборудования, программного обеспечения, обучение персонала работе на современной технике.

Г) УПРАВЛЕНИЕ ВНУТРЕННИМ ДОЛГОМ И МОНЕТАРНАЯ ПОЛИТИКА. Здесь следует решить: 1) проблему новых государственных методик продажи; 2)задачу программного сопровождения методик; 3)проблемы правового регулирования межбанковских взаимодействий; 4)проблему закупок офисного оборудования.

Д) СОЗДАНИЕ УЧЕБНОГО ЦЕНТРА при ЦБ. Здесь - следующие задачи: 1)обучение преподавателей; 2)закупка транспортных средств и мебели; 3)закупка учебных материалов.

ЗАМЕЧАНИЕ. Часть кредита отводится на закупку по контракту. Для этого объявляются торги. МФ приглашает фирмы принять участие в конкурсе тендерных предложений.

ПОДРОБНОЕ ОПИСАНИЕ РАСХОДОВ ПО КАЖДОМУ ПУНКТУ

ПРОЕКТА

А) Правовой контроль и регулирование (1620 тыс. долл. США) ЗАМЕЧАНИЕ. Всюду дальше суммы валюты измеряют в тыс. долл.США

Таблица 4

Наименование Единица измерения Количество в год Цена за единицу измерения

Общие затраты

тыс.долл.

95 96 97
AI. Изучение состояния дел в банке чел/ месяц 12 24 20 720
А2. Учебные поездки за рубеж - 10 10 15 300
A3. Меры по правовому регулированию - 6 20 120

Таблица 5 Б. Совершенствование управления финансами (19813 тыс. долл. США)

Наименование Единица измерения Количество в год Цена за единицу измерения Общие затраты тыс. долл
95 96 97
В1. Внедрение методик учета и аудита чел/ месяц 16 20 20 20 1120
В2. Компьютеры и принтеры кол-во 40 20 3 180
ВЗ. Копировальные машины кол-во 10 10 2.5 50
В4. Факсы кол-во 15 10 1.5 38
В5. Автомобили кол-во 5 3 20 160
В6. Мини автобусы кол-во 5 2 25 175
В7. Строительство здания общая сумма 1/3 1/3 1/3 18000 18000
В8. Эксплуатация оборудования общая сумма 1/3 1/3 1/3 60 60
В9. Техобслуживание общая сумма 1/3 1/3 1/3 30 30

Госсистема кредитно-кассовых расчетов (1405 тыс.долл.США)

Страницы: 1, 2, 3, 4, 5, 6, 7, 8, 9, 10, 11, 12, 13, 14, 15, 16, 17, 18


на тему рефераты
НОВОСТИ на тему рефераты
на тему рефераты
ВХОД на тему рефераты
Логин:
Пароль:
регистрация
забыли пароль?

на тему рефераты    
на тему рефераты
ТЕГИ на тему рефераты

Рефераты бесплатно, реферат бесплатно, курсовые работы, реферат, доклады, рефераты, рефераты скачать, рефераты на тему, сочинения, курсовые, дипломы, научные работы и многое другое.


Copyright © 2012 г.
При использовании материалов - ссылка на сайт обязательна.