на тему рефераты
 
Главная | Карта сайта
на тему рефераты
РАЗДЕЛЫ

на тему рефераты
ПАРТНЕРЫ

на тему рефераты
АЛФАВИТ
... А Б В Г Д Е Ж З И К Л М Н О П Р С Т У Ф Х Ц Ч Ш Щ Э Ю Я

на тему рефераты
ПОИСК
Введите фамилию автора:


Курсовая работа: Идентификация параметров математических моделей биполярных транзисторов КТ209Л, КТ342Б и полевого транзистора КП305Е


Упрощённое изображение сечения структуры биполярных транзисторов приведено на рис. 11. Взаимодействие между p-n переходами структуры транзистора появляется только при расстоянии между ними менее диффузионной длины неосновных носителей заряда в базе. Сечение структур реальных биполярных транзисторов приведено на рис. 12. На этом рисунке отмечены следующие области транзистора: 1, 2, 3 – электроды, соответственно, базы, эмиттера и коллектора, 4 – область эмиттера, 5, 6, 7 – соответственно, активная, пассивная и периферическая области базы, 8 – область коллектора, 9 – область изоляции, 10 - подложка. На рис. 12а – изображена структура одиночного эпитаксиально-планарного транзистора, на рис.12б – меза-планарного, на рис. 12в - эпитаксиально-интегрального транзистора .

Рис. 11

 

Рис. 12б

 

Рис. 12в

 

Рис. 12а

 


9. Характеристики транзисторов, используемые для экстракции

параметров математических моделей

Для проведения моделирования электрических схем необходимо иметь аналитическое описание поведения биполярных транзисторов в таких схемах. Такое аналитическое описание может быть построено из знания особенностей структуры и конструкции транзистора, что очень тяжело реализовать на практике. Другой подход, развитый в настоящее время, предполагает идентификацию параметров математической модели на готовом изделии из его различного рода электрических зависимостей, при этом параметры транзисторов могут быть извлечены из набора характеристик:

q статических характеристик;

q малосигнальных характеристик;

q частотных характеристик;

q импульсных характеристик.

Эти характеристики описывают структурно-физические модели Эберса-Молла, которая в простейшем случае выражается формулой:

 и Гуммеля-Пуна, в которой находят своё отражение особенности транзисторных структур. Эти особенности связаны с технологией формирования транзисторных структур – сплавная, планарная, диффузионная или полученная с помощью ионной имплантации. Существенное значение для модели Гуммеля-Пуна имеют конструктивные особенности – наличие подложечных областей полупроводника (как в случае интегрального транзистора), конструктивное оформление электродов, что приводит к модификации межэлектродных ёмкостей, а также режим работы транзистора – режимы большого или малого тока коллектора (проявление эффекта Кирка).

Необходимо и достаточно параметры математической модели биполярных транзисторов описываются 8-ю характеристиками:

Зависимостью напряжения на переходе эмиттер-база Uбэ в режиме насыщения от тока коллектора (желательно иметь диапазон изменения тока коллектора в 4-х порядках). Условие – величина отношения тока коллектора к току базы – фиксирована (например, эта величина равна 10). . По этой характеристике легко просчитывается величина последовательного сопротивления эмиттера, коэффициент насыщения эмиттера NF, RE. IS -соответственно, ток насыщения, NF – коэффициент неидеальности, RE – последовательное сопротивление эмиттера.

Зависимостью выходной дифференциальной проводимости на пологом участке выходной характеристики (при фиксации напряжения Uбэ, т.е. по сути, при фиксации тока базы) от тока коллектора. Условие – величина напряжения Uкэ фиксирована – например 5 В. По этой характеристике легко просчитывается напряжение эффекта Эрли. В случае эффекта Эрли имеет место уменьшение эффективной толщины базы при росте напряжения коллектор – эмиттер.          Величина напряжения Эрли при прямом включении транзистора рассчитывается из выходной характеристики, согласно схеме, приведенной на рис. 13


Рис. 14

 

Рис. 13

 

Зависимостью статического коэффициента передачи по току от тока коллектора в схеме включения транзистора с общим эмиттером (желательно иметь диапазон изменения тока коллектора в 2-х порядках). Условие – величина напряжения Uкэ фиксирована – например 1 В. Пример такой зависимости дан на рис. 14. Зависимость коэффициента передачи тока от величины тока коллектора является проявлением эффекта Кирка – увеличение эффективной толщины базы с ростом величины статического тока, протекающего через коллекторный переход. Параметры модели, извлекаемые из этой характеристики – коэффициенты неидеальности транзистора в нормальном режиме, ток насыщения эмиттера, максимальное значение коэффициента передачи и величина тока коллектора, соответствующая этому режиму.

Зависимостью напряжения насыщения Uкэ от тока коллектора (желательно иметь диапазон изменения тока коллектора в 3-х - 4-х порядках). Условие – величина отношения тока коллектора к току базы – фиксирована (например, эта величина равна 10). Из этой зависимости возможно экстрагировать NC - коэффициент неидеальности коллекторного перехода, ISC - ток насыщения утечки перехода база-коллектор, BR - максимальный коэффициент передачи тока в инверсном режиме в схеме с ОЭ (без учета токов утечки), IKR - ток начала спада зависимости BR от тока эмиттера в инверсном режиме, RC - объёмное сопротивление области коллектора.

Зависимостью барьерной ёмкости коллекторного перехода от напряжения коллектор- база.

Зависимостью барьерной емкости эмиттерного перехода от напряжения эмиттер - база.

Зависимостью времени рассасывания заряда базы от тока коллектора при постоянном значении отношения тока коллектора к току базы, например равном 10.

Зависимостью граничной частоты коэффициента передачи тока ft в схеме с ОЭ от тока коллектора Ic. Эта характеристика носит название площади усиления. Фиксированным при этом является величина постоянного напряжения Uкэ , которое обычно равно 10 В.

Расчетная часть

Для построения зависимостей может быть применен макет, функциональная схема которого представлена на рис. 15.

Функциональная схема для снятия выходных и передаточных характеристик транзисторов в широком диапазоне

 



Рис. 15

 

Эквивалентные схемы идеализированного транзистора n-p-n типа представлены на рис. 16а и рис. 16б.

Рис. 16а

 

Рис. 16б

 

Модифицированная эквивалентная схема биполярного транзистора n-p-n типа по Эберсу-Моллу

 

Эквивалентная схема биполярного транзистора n-p-n типа по Эберсу-Моллу

 


11. Биполярный транзистор КТ209Л

Справочные данные

Транзистор кремниевый эпитаксиально-планарный р-n-р маломощный.

Предназначен для работы в усилительных и импульсных микромодулях и блоках герметизированной аппаратуры.

Выпускается в пластмассовом корпусе с гибкими выводами в двух вариантах. Обозначение типа приводится на корпусе.

Масса транзистора не более 0,3 г.


Возможное сечение структуры биполярного р-n-р транзистора показано на рисунке 12а.

Режимы работы, характеристики

Режимы работы транзистора могут быть идентифицированы по карте напряжений, частично представленной на рис. 18, для транзистора р-n-р типа.


Рис. 18 Карта напряжений

транзистора р-n-р типа

 


Рис. 19

Семейство входных характеристик транзистора КТ209Л при напряжении коллектор-эмиттер:

Uke = 0 B

Uke = 3 B

Uke = 5 B

 
Семейство входных характеристик представлено на рис. 19:


Семейство выходных характеристик представлено на рис. 20:


Рис. 20

Семейство выходных характеристик транзистора КТ209Л при токах базы:

Ib = 45 mkA

Ib = 75 mkA

Ib = 85 mkA

Ib = 0.1 mA

Ib = 0.2 mA

 


По значениям выходных характеристик определим напряжение Эрли:

Проведем прямые через линейные участки характеристик до пересечения с осью Uкэ, получим значение напряжения Эрли, равное: Uэрли = – 18,2 В.

А также напряжение Эрли можно определить теоретически, по формуле:

, получим: Uэрли = 17 В

Графики прямых передаточных характеристик в активном режиме Iк=f(Iб) и В=f(Iк), где В= Iк/Iб – статический коэффициент передачи тока в схеме с общим эмиттером, соответственно представлены на рис. 21 и 22.


Рис. 22 Прямая передаточная характеристика в активном режиме В=f(Iк)

 

Рис. 21 Прямая передаточная характеристика в активном режиме Iк=f(Iб)

 


Режим насыщения представлен на рис. 23, 24:


;

;


Рис. 24 Режим насыщения

 

Рис. 23 Режим насыщения

 

Рис. 25 Зависимости тока базы и тока коллектора от напряжения база-эмиттер при напряжении коллектор-эмиттер Uke = 3B

 
В полулогарифмическом масштабе для активного режима представлены зависимости тока базы и тока коллектора от напряжения база-эмиттер (рис. 16):

Из рис. 25 графически определим ток насыщения диода база-эмиттер и ток насыщения транзистора. Для чего продлим кривые до пересечения осью ln(Ik),ln(Ib). Получим:

Iтр насыщ = 3,7*10-12 А,

Iэб насыщ = 0,11*10-12 А.

Расчет коэффициентов неидеальности эмиттерного и коллекторного переходов:

1.  Эмиттерного перехода:

 


                                              Из входной характеристики зависимости Ube = f(Ib) выберем кривую при Uke = 3 B. На ней выберем две точки: Ube1 = 0.6 B, Ube2 = 0.65 B и Ib1 = 0.042 A, Ib2 = 0.242 A.

Решая систему уравнений, получим:

n = 1.1

 2.     Коллекторного перехода:

Из характеристики зависимости Ube = f(Ik) на кривой выберем две точки: Ube1 = 0.65 B, Ube2 = 0.66 B и Ik1 = 0.0085 A, Ib2 = 0.016 A.

Решая систему уравнений, получим:

n = 0.63

12. Биполярный транзистор КТ342Б

Справочные данные:

Транзистор кремниевый эпитаксиально-планарный n-р-n маломощный.

Предназначен для усиления и генерирования сигнала в широком диапазоне частот.

Выпускается в пластмассовом корпусе с гибкими выводами.



Масса транзистора не более 0,3 г.

Возможное сечение структуры данного биполярного транзистора показано на рисунке 12а.

Режимы работы, характеристики

Режимы работы транзистора могут быть идентифицированы по карте напряжений, представленной на рис. 27, для транзистора n-р-n типа:


Рис. 27 Карта напряжений

транзистора n-р-n типа

 

Рис. 28

Семейство входных характеристик транзистора КТ209Л при напряжении коллектор-эмиттер:

Uke = 0 B

Uke = 3 B

Uke = 5 B

 
Семейство входных характеристик представлено на рис. 28:



Рис. 29

Семейство выходных характеристик транзистора КТ342Б при токах базы:

Ib = 0.168 mA

Ib = 0.184 mA

Ib = 0.25 mA

 
Семейство выходных характеристик представлено на рис. 29:


По значениям выходных характеристик определим напряжение Эрли:

Проведем прямые через линейные участки характеристик до пересечения с осью Uкэ, получим значение напряжения Эрли, равное: Uэрли = – 0,6В.

А также напряжение Эрли можно определить теоретически, по формуле:

, получим: Uэрли = 0.8В


Графики прямых передаточных характеристик в активном режиме Iк=f(Iб) и В=f(Iк), где В= Iк/Iб – статический коэффициент передачи тока в

схеме с общим эмиттером, соответственно представлены на рис. 30 и 31.

Рис. 31 Прямая передаточная характеристика в активном режиме В=f(Iк)

 

Рис. 30 Прямая передаточная характеристика в активном режиме Iк=f(Iб)

 
 

Режим насыщения представлен на рис. 32, 33:

;


;



Рис. 34 Зависимости тока базы и тока коллектора от напряжения база-эмиттер при напряжении коллектор-эмиттер Uke = 3B

 
В полулогарифмическом масштабе для активного режима представлены зависимости тока базы и тока коллектора от напряжения база-эмиттер (рис. 34):


Из рис. 34 графически определим ток насыщения диода база-эмиттер и ток насыщения транзистора. Для чего продлим кривые до пересечения осью ln(Ik),ln(Ib). С помощью метода наименьших квадратов найдем линейные уравнения тока базы и тока коллектора от напряжения база-эмиттер. Получаем:

y(Ik) = 38.5x - 24.7

y(Ib) = 34x – 16

Таким образом:

Iтр насыщ = 1,87*10-14 А,

Iэб насыщ = 1.38*10-14 А.

Расчет коэффициентов неидеальности эмиттерного и коллекторного переходов:

1.  Эмиттерного перехода:


Из входной характеристики зависимости Ube = f(Ib) выберем кривую при Uke = 0 B. На ней выберем две точки: Ube1 = 0.65 B, Ube2 = 0.7 B и Ib1 = 0.111 A, Ib2 = 0.429 A.

Решая систему уравнений, получим:

n = 1.47

2.      Коллекторного перехода:

Из характеристики зависимости Ube = f(Ik) на кривой выберем две точки: Ube1 = 0.8 B, Ube2 = 0.9 B и Ik1 = 0.021 A, Ib2 = 0.039 A.

Решая систему уравнений, получим:

n = 6.44

Итого получим:

Тип

транзистора

Тип проводимости Ток насыщения диода Б-Э, А Коэффициент неидеальности диода Б-Э Напряжение Эрли, В Ток насыщения транзистора, А Коэффициент неидеальности транзистора (в уравнении Э-М)
КТ209Л n-p-n

3.7*10-12

1.1 18

0.11*10-12

0.63
КТ342Б p-n-p

1.8*10-14

1.47 0.8

1.38*10-14

6.44

13. Малосигнальные параметры биполярных транзисторов

Статические характеристики транзистора показывают, что связь между токами и напряжениями выражается нелинейной зависимостью. Таким образом, транзистор является, вообще говоря, нелинейным элементом. Однако на поле статических характеристик всегда можно выбрать небольшую область, в пределах которой связь между токами и напряжениями можно с той или иной степенью приближения считать линейной. Транзистор, в такой области, может быть использован в режиме линейного усиления сигналов (усиление мощности полезного сигнала). Понятия усиления тока и усиления напряжения имеют смысл только в том случае, если имеет место усиление мощности. Мощность на выходе трансформатора, например, всегда меньше мощности на его входе на величину потерь. Именно поэтому, в случае трансформатора мы говорим о коэффициенте передачи мощности (величина которого, меньше единицы), а не о коэффициенте усиления мощности, величина которого, нормально, превышает единицу. С этих позиций системы и элементы, вносящие потери в процессе передачи сигнала, принято называть пассивными. Системы и элементы, обеспечивающие усиление мощности сигнала,

называют активными. Транзистор, при работе в линейном усилительном режиме, можно рассматривать как активный линейный четырехполюсник с двумя входными и двумя выходными зажимами.


Так как, в общем случае, он будет характеризоваться некоторой конечной величиной входного и выходного сопротивлений, то при приложении к входным и выходным зажимам постоянных напряжений Uвх и Uвых, на входе и на выходе будут протекать постоянные токи Iвх и Iвых, соответственно. Постоянные напряжения, приложенные к зажимам транзистора, и токи на входе и выходе транзистора будут соответствовать одной из точек семейства его характеристик, т. е. характеризовать некоторую рабочую точку. В общем случае все четыре величины являются взаимосвязанными, причем достаточно задать две из них - для того, чтобы однозначно определить по статическим характеристикам две другие величины. Обозначим независимые переменные через X1 и Х2, зависимые переменные - через У1 и У2. Если предположить, что — величины Х1 и Х2 получают некоторые малые приращения .Х1 и .Х2, то приращения, которые могут получить зависимые переменные определяются с помощью разложения в ряд Тейлора:

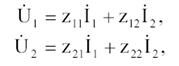
В этих выражениях слагаемое R’n , R”n – представляют собой остаточные члены разложения. Пренебрегая членами второго и более высоких порядков малости, получаем систему линейных функций двух переменных (двух аргументов) .Х1 и .Х2. Т.к. за независимые переменные (Х1 и Х2) могут быть выбраны любые две величины из четырех (двух токов и двух напряжений), то при выборе независимых переменных получим ряд возможных вариантов системы уравнений, связывающих приращения токов и напряжений. Если на постоянные составляющие токов и напряжений наложены достаточно малые синусоидальные сигналы, то их амплитуды Im и Um (или действующие значения I и U) можно рассматривать как малые приращения постоянных составляющих. При переходе от малых приращений к синусоидальным сигналам надо учитывать, что мгновенные приращения токов и напряжений представляют собой функции времени и частоты. Отношения этих величин можно охарактеризовать модулем и фазой. Частные производные в системе могут быть безразмерными и (или) размерными величинами (сопротивлениями или проводимостями). Наиболее употребительными являются следующие три пары уравнений, в которых большими символами обозначены малые приращения напряжений и токов:

В этих уравнениях величины z, y и h – называются дифференциальными (или малосигнальными) параметрами, определяемыми рабочей точкой четырёхполюсника. Они представляют собой наклон той или иной характеристики при неизменности одной из независимых переменных. В системах дифференциальные параметры имеют индексы, которые имеют следующий смысл:

• индекс 11 – читается «один-один», обозначает входной параметр (характеризует входную цепь);

• индекс 12 – читается «один-два», обозначает параметр обратной связи, показывающий влияние выходного сигнала на входной сигнал;

• индекс 21 – читается «два – один», обозначает параметр прямой передачи, показывающий влияние входного сигнала на выходной сигнал;

• индекс 22 – читается «два - два», обозначает выходной параметр (характеризует выходную цепь). В системах уравнений токи и напряжения связаны между собой посредством матриц сопротивлений, проводимостей и h – параметров:


Для нахождения этих дифференциальных параметров необходимо получить условие равенства нулю сопряжённого независимого переменного. При этом появляется первое требование осуществления режимов холостого хода – равенства нулю переменой компоненты тока (при котором в цепь включают сопротивление значительно большее, чем соответствующее сопротивление четырёхполюсника (входное либо выходное)), смотря на то, с какими дифференциальными параметрами транзистора оперируем. На практике, при определении этих дифференциальных параметров необходимо обеспечить питание его соответствующих электродов постоянным напряжением либо, через индуктивные элементы. Второе требование - требование осуществления режима короткого замыкания. В этом случае исследуемую цепь шунтируют сопротивлением, с номиналом, значительно меньшим, внутреннего сопротивления соответствующей цепи. Третье требование - требование малости входных сигналов. Критерием этого, является приём, при котором при одном уровне входных сигналов определяется значение этих малосигнальных параметров, затем уровень входных сигналов увеличивается вдвое. Если, при этом, значения вновь определённых малосигнальных параметров изменяются не более, чем на величину допуска на определение этих величин, обычно (5-10)%, то считают, что первоначально заданные входные сигналы удовлетворяют критерию малости.

Идентификация системы h- параметров

При нахождении дифференциальных параметров биполярного транзистора осуществление режима холостого хода в цепи эмиттера или базы (для схемы с общим эмиттером) достаточно просто осуществить, т.к. внутреннее сопротивление открытого перехода мало. Создание режима холостого хода в цепи коллектора (выходной цепи) затруднено тем, что внутреннее сопротивление при этом очень велико (достигает нескольких мегоОм). В связи с выше сказанным, экспериментальное определение дифференциальных параметров (z- параметров) для системы (2) затруднено. При нахождении дифференциальных параметров биполярного транзистора осуществление режима короткого замыкания (шунтирования исследуемой цепи, сопротивлением, значительно меньшим её внутреннего сопротивления) требует реализовывать питание электродов транзистора постоянным напряжением, что выполняют включением параллельно электродам соответствующего конденсатора. Такой режим легко реализовать для цепи коллектора, в которой сопротивление коллектора очень велико. Но режим короткого замыкания по переменному току в цепи эмиттера или базы (для схемы с общим эмиттером) достаточно трудно осуществить, т.к. внутреннее сопротивление открытого перехода мало (особенно на малых частотах). Всё сказанное в этом разделе свидетельствует, что применение y-параметров и системы (3) для описания свойств биполярного транзистора в режиме малого сигнала затруднено. Поэтому наибольшее применение нашла смешанная система (4), в которой используются те режимы включения биполярного транзистора по переменному току, которые возможно реализовать на практике. При этом надо реализовать режим короткого замыкания во входной цепи и режим холостого хода в выходной цепи. Физический смысл h-параметров представлен в таблице:


Главным преимуществом применения системы h- параметров является то, что их измеряют в режимах, близких к режимам работы транзисторов в реальных схемах. Переход от системы одних дифференциальных параметров к системе других дифференциальных параметров производится решением соответствующей системы уравнений. Однако систему h-параметров трудно непосредственно применить к расчёту работы транзистора в схеме, для чего более подходящими являются матрица сопротивлений или матрица проводимости. Но можно определить матрицу сопротивлений по известной матрице h-параметров. Значения h-параметров транзистора, представленного в виде четырёхполюсника, зависят от схемы его включения. Но, по известным параметрам одной схемы легко перейти к параметрам другой схемы включения. При этом надо заменять токи и напряжения (с учётом правила знаков), не забывая, что выполняются соотношения:

Функциональная схема прибора для определения малосигнальных h- параметров биполярного транзистора:


С помощью данной установки были сняты зависимости и построены графики зависимостей h параметров транзистора КТ 209Л в схеме с общей базой и общим эмиттером от величины тока эмиттера:




Графики зависимостей h параметров транзистора КТ342Б в схеме с общей базой и общим эмиттером от величины тока эмиттера:


Литература

1.  В.В. Пасынков, П.К. Чиркин, А.Д. Шинков, Полупроводниковые приборы. «Высшая школа», 1981.

2.  Разевиг В.Д Применение программ P-CAD и PSpice для схемотехнического моделирования на ПЭВМ В.2 М., «Радио и связь», 1992.

3.  Транзисторы. Параметры, методы измерений и испытаний. «Сов.Радио», 1968 г.


Страницы: 1, 2


на тему рефераты
НОВОСТИ на тему рефераты
на тему рефераты
ВХОД на тему рефераты
Логин:
Пароль:
регистрация
забыли пароль?

на тему рефераты    
на тему рефераты
ТЕГИ на тему рефераты

Рефераты бесплатно, реферат бесплатно, курсовые работы, реферат, доклады, рефераты, рефераты скачать, рефераты на тему, сочинения, курсовые, дипломы, научные работы и многое другое.


Copyright © 2012 г.
При использовании материалов - ссылка на сайт обязательна.